实际运行中,多数锅炉的燃烧并未达到理想状况。比如两年前某单位通过对一百多台锅炉进行检测,测出锅炉在运行状态下,实际平均过剩空气系数为1.79,平均热效率为81.24%,多数锅炉均超过了相关技术规范的要求。而在我们运行和管理中常常听到控制空燃比、降低排烟温度等等的说法,那么为什么控制空燃比和排烟温度就可以实现节能呢?

锅炉效率测试数据(D为额定蒸发量t/h)
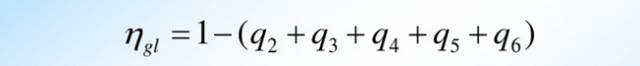
我们知道,锅炉的热效率越高,产生单位体积的热水或蒸汽,所消耗的燃料就越少,也就是说锅炉效率越高越节能。而锅炉效率的反平衡计算公式为:

其中q2为排烟热损失,对于燃气锅炉而言计算公式可简化为:
q2={[21/(21-O2)+0.18]×3.55+0.44}×(Tpy-Tlf)
O2为排烟中的氧含量,Tpy为排烟温度,Tlf为助燃冷风温度。由此可见:q2的大小与排烟温度成正比,与排烟O2含量成正比。
所以排烟温度愈高,则排烟热损失愈大,通常排烟温度每降低10~15℃,可减少排烟热损失1%左右,所以很多锅炉采用增加尾部受热面来尽可能的降低排烟温度(当然还要综合考虑烟道冷凝腐蚀等问题),提高锅炉效率。
而控制空燃比,本质上就是控制烟气中的O2和CO等气体的含量。排烟中O2含量越大,排烟热损失也越大,所以锅炉效率也越低。此外,q3为化学不完全燃烧损失,它可以通过排烟中CO的含量计算得出,CO含量越高q3越大,锅炉效率越低。所以实时检测和控制空燃比,将烟气中的O2和CO控制在合理范围内,就可明显提高锅炉能效,从而大大节省燃料。
川然节能与法国斯奈德电气合作开发的“及时控”燃烧管理系统就是以这一理论为基础制造的产品。该产品通过实时监测烟气中的排烟O2含量、CO含量,自动调节空燃比,确保燃烧长期处于最佳状态,达到节能的目的。同时还可以加入NOx模块,自动监测并调节NOx排放量,实现环保达标。
锅炉效率测试数据(D为额定蒸发量t/h)
我们知道,锅炉的热效率越高,产生单位体积的热水或蒸汽,所消耗的燃料就越少,也就是说锅炉效率越高越节能。而锅炉效率的反平衡计算公式为:
其中q2为排烟热损失,对于燃气锅炉而言计算公式可简化为:
q2={[21/(21-O2)+0.18]×3.55+0.44}×(Tpy-Tlf)
O2为排烟中的氧含量,Tpy为排烟温度,Tlf为助燃冷风温度。由此可见:q2的大小与排烟温度成正比,与排烟O2含量成正比。
所以排烟温度愈高,则排烟热损失愈大,通常排烟温度每降低10~15℃,可减少排烟热损失1%左右,所以很多锅炉采用增加尾部受热面来尽可能的降低排烟温度(当然还要综合考虑烟道冷凝腐蚀等问题),提高锅炉效率。
而控制空燃比,本质上就是控制烟气中的O2和CO等气体的含量。排烟中O2含量越大,排烟热损失也越大,所以锅炉效率也越低。此外,q3为化学不完全燃烧损失,它可以通过排烟中CO的含量计算得出,CO含量越高q3越大,锅炉效率越低。所以实时检测和控制空燃比,将烟气中的O2和CO控制在合理范围内,就可明显提高锅炉能效,从而大大节省燃料。
川然节能与法国斯奈德电气合作开发的“及时控”燃烧管理系统就是以这一理论为基础制造的产品。该产品通过实时监测烟气中的排烟O2含量、CO含量,自动调节空燃比,确保燃烧长期处于最佳状态,达到节能的目的。同时还可以加入NOx模块,自动监测并调节NOx排放量,实现环保达标。
